capmap


 


Intro Page CAPMAP collaboration A visual history of CAPMAP The CMB cinema CMB research password required Relevant links Some background on CAPMAP CAPMAP technology More CMB and CAPMAP info The CAPMAPers from the University of Chicago


Background

The CMB (cosmic microwave background) consists of light emitted a mere 380 thousand years after the big bang when the universe was less than 0.002% of its current age. This light comes from what is known as the surface of last scattering -- the time when the universe cooled enough to allow protons to capture electrons to form atoms. This greatly reduced the frequency with which electrons interacted with the photons, so the photons could travel unhindered and the universe became transparent.
Recent experiments (WMAP, DASI) have shown that this light is ever so slightly polarized, due primarily to the motion of the primordial plasma just before last scattering. This polarization holds the key to seeing past the surface of last scattering to the earliest moments in our universe.

Visualizing the Polarization

To get an idea of what we mean by polarization, let’s say you look at a single point in the sky (or on the map generated by WMAP). At that point, you see an electromagnetic wave that is traveling directly toward you. The wavevector would look like a point since you’re viewing it head-on.

The wave’s electric and magnetic field vectors (E and B) are perpendicular, so we can just talk about the polarization in terms of the direction that the E-field points.

Summing over all incident waves, the E-fields are roughly equal in all directions, but not quite. There will be one direction that has a slightly greater magnitude of E than the other directions (see figure to the left).

We can represent polarization as a line with length proportional to the excess magnitude in that direction and at an angle such that it is aligned with the direction of largest E. This line is not a vector, however, because we have no meaningful way of saying which way this line “points.” It only takes a rotation of 180 degrees to come around to the same orientation, as opposed to 360 degrees for a vector. Thus, the polarization field is some sort of tensor field rather than a vector field. Here (below) is what a possible polarization field looks like on a small patch of CMB. (Image by Seljak and Zaldarriaga.




This graph shows how Q and U depend on the angle between the polarization vector and the x-axis. Since the polarization vector is invariant under rotation by 180 degrees, it is really only necessary to look at half of the plot. One sees that Q and U are out of phase by 45 degre




This image shows the definition of the angle Q used in the graph of Q and U. Note that the value of Q depends on both the polarization direction (shown by the bluish bar at an angle Q from the x-axis) and the orientation of the axes. The little red arrows on the axes and on the polarization vector point in the direction of increasing Q if the axes or the polarization vector were rotated.



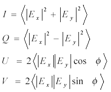
Stokes Parameters

The Stokes parameters. I is a measure of the intensity of the radiation, while Q and U measure the radiation’s linear polarization. Q and U can be viewed as the same measurement made with respect to two different sets of axes with one set rotated by 45 degrees with respect to the other. The circular polarization of the radiation is described by V. In these equations, Ex and Ey are the amplitudes of the x- and y- components of the E-field. The phase difference is f.



Which Way is Up?

IAU conventions define the axes used for polarization measurements. The x-axis points towards the North Celestial Pole, the point on the sky that is directly overhead at the Earth’s North Pole. The North Star, or Polaris, is very near to this point on the sky. The y-axis is orthogonal to the x-axis; it is chosen so that in a right handed coordinate system, the z-axis points from the point on the sky to the observer as shown in the picture on the right. The polarization directions in which Q and U are maximized or minimized are also shown; for example, if there is a +Q next to a line, then Q is maximized when the polarization direction is along that line. (Night sky background from http://www.emit.org/nightsky.html).



What are E- and B-modes?

If you think of the vector field for a static electric field, it has the interesting characteristic that its curl is always zero. If you look at a vector field for a static magnetic field, the divergence is zero. In fact, one can break a vector field down into components -- one with zero curl and one with zero divergence.

In a similar way, we can break down the polarization tensor field into two components, which we call E and B modes. We liken E-modes to a field with zero curl (like the static electric field), and B-modes to a field with zero divergence (like the static magnetic field), although technically divergence and curl are not defined on this tensor field. (This has to do with the fact that the polarization tensors don’t point in a unique direction). Appropriate combinations of derivatives are used to define operations analagous to divergence and curl.

Most CMB polarization is in the form of E-modes. It is possible that B-modes also exist, and could be generated by two sources. One source would be gravity waves resulting from the the violent ripping of spacetime that is predicted by inflation, a theory that has not been confirmed. The other source is gravitational lensing -- or the bending of light due to matter (including dark matter). Gravity waves in the early universe show up as B-modes on large angular scales, while the gravitational lensing effects show up on smaller scales (because the lensing is done by clusters, which are smaller).

Finding experimental evidence for gravity waves in the early universe would be a monumental discovery, and better understanding of gravitational lensing can help solve questions about dark matter and dark energy in the post-last-scattering universe. These effects have as of yet not been detected, which is actually good, because B-modes from both these sources are expected to be small and none of the current experiments has come close to the sensitivity needed to see them. The figures below show predicted CMB power spectra. The ordinate is temperature while the abscissa is the ell of spherical coordinates, a quantity roughly proportional to p/q, where q is the characteristic angular size of fluctuations.




Patterns in the Plasma

Before the surface of last scattering, the universe was a hot plasma, with electrons and photons frantically colliding. The CMB that we observe today is a snapshot of the last light rays that scattered off this plasma just as it was cooling enough for electrons to become bound in atoms. By observing the properties of this light, we can draw conclusions about the motion and densities of electrons (and other matter) at that time.

A fascinating thing about polarization in the CMB is that it gives us information about the velocity of the plasma at the surface of last scattering. Looking at the patterns of this motion can tell us important information about the kind of oscillations that the plasma was undergoing -- large-scale cosmic sound waves. The wavelength of a sound wave could not exceed the size of the universe at the time of the oscillation. Thus the frequency spectrum of these sound waves provides information about the expansion of the universe. Also, certain patterns in the polarization, if present, could indicate the presence of gravity waves in the early universe. The waves that categorize these patterns are called “B-modes”, described in further detail above.



How Polarization is Made


 

To look at how velocity gives rise to polarization, imagine light that is emitted from a specific electron. An electron in the plasma is bombarded by radiation from all directions, and the oscillating electric fields from different waves cause it to vibrate back and forth, emitting electromagnetic radiation (the basic principle behind scattering). If the incident radiation from all directions is uniform in intensity and unpolarized, then the electron vibrates equally in all directions, and the net radiation it emits is isomorphic and unpolarized. However, if the incident radiation is not uniform, the emitted radiation can be polarized, even if the incident radiation is not.

To better visualize this effect, we can look at an electron with two waves with different magnitudes coming at it from perpendicular directions (see figure to the right). The electron emits light in all directions, but for simplicity, we only look at light emitted in the Y direction. The electric field of the emitted wave comes from the oscillations of the electron in the XZ plane (perpendicular to the wave vector). Only the incident E-fields in this plane (blue and red) influence the electron’s motion in a way that is translated into the scattered waves. So if the incident light is stronger in one direction, the E-field of the emitted light in the corresponding direction will also be stronger (like the red wave in the picture) and hence polarized.

In the early universe, the motion of the plasma causes incident radiation in one direction to be stronger than in other directions. In the figure, the wave emitted in the +Y direction has Q>0 because |Ex|2 > |Ey|2. If we look at the velocity field of this plasma around a gravity well (high density), it will look like the picture below. The yellow circle is an electron, moving along with the plasma. If we look at this electron’s rest frame, it will appear that the plasma (including the incident radiation) is moving away in the vertical direction, but not in the horizontal. This means that the light in this direction is red shifted so it has lower intensity than light in the horizontal direction (see figure to the left). The end result is that the electron emits light that is polarized in the horizontal direction (perpendicular to its velocity).

 



Last updated 8/4/03

If you are having problems viewing this page, try this alternative version.

Back to CAPMAP home